干货丨实验室仪器设备期间核查“全貌”
日期:2019-08-01 作者: 来源:农业检测
所谓期间核查是指核查仪器设备的系统漂移,以保持其校准状态的置信度,期间核查并不是校准,那期间核查究竟是一个怎样的核查方式呢?接下我们就全面彻底地的了解一下实验室仪器设备期间核查。
检测机构为完成大量的检验任务,往往要配置各种仪器设备。为了保证检测结果的准确性,仪器设备的可信度至关重要。检测机构除了通过控制采购、校准等环节保证仪器设备的可靠性之外,期间核查也是一个重要的方法,同时它是标准中的一项规定,也是国家实验室认可和计量认证所要求的质量管理的一种方式。
实验室哪些仪器设备需要做期间核查
仪器设备是否需进行期间核查,应根据在实际情况下出现问题的可能性、出现问题的严重性及可能带来的质量追溯成本等因素,合理确定是否需进行期间核查。
通常从以下几方面来考虑:
1、设备的稳定性:对不够稳定、易漂移、易老化的设备,应进行期间核查。
2、设备的使用状况和频次:对使用频繁的仪器设备;经常拆卸、搬运、携带到现场检测的仪器设备;使用环境恶劣的仪器设备,故障率高或曾经过载或怀疑出现质量问题的仪器设备;使用寿命临近到期的仪器设备应进行期间核查。
3、校准数据分析:根据对历年来校准数据的变化情况的分析,来判断是否应进行期间核查。那么哪些设备可不进行期间核查呢?一般对稳定性好的设备、使用频率低的设备、带有自校功能且每次实验前均进行自校的设备,化学分析仪器每次带标样做,可不考虑进行期间核查。
不同实验室的测量设备期间核查要求是不尽相同的。按照ISO/IEC17025和JJF1069-2012的要求校准实验室和法定计量检定机构必须对其计量标准和标准物质进行期间核查,对其他测量设备以及检测实验室的一般测量设备,需要进行期间核查的有使用频次高的,使用环境恶劣的,对检测结果有重大影响的,移动使用的,漂移较大、稳定性较差的,用于现场检测的,曾经过载或怀疑有质量问题的。
期间核查的方法来源
期间核查并不是一次再校准,但校准的某些方法可用于期间核查,具体方法来源一般有以下几种:
1、检测标准中规定了核查方法。许多标准方法已经详细规定了校准等方法和要求,可以直接作为期间核查的方法。
2、仪器设备检定或校准规程,仪器设备检定或校准规程往往详细规定了整个检定过程,期间,核查可以采用其中的需要核查部分。如果没有该类仪器,设备的检定规程,还可以参照类似仪器检定规程。
3、仪器设备使用说明书或供应商提供的方法。
期间核查的方法
期间核查的方法有多种,可根据实验室及其检定、校准、检测样品的特点,从测量设备的特性以及经济性、实用性、可靠性、可行性等方面综合考虑。
1、传递测量法
当对计量标准进行核查时,如果实验室内具备高一等级的计量标准,则可方便地用其对被核查计量标准的功能和范围进行检查,当结果表明被核查的相关特性符合其技术指标时,可认为核查通过。
当对其他测量设备进行核查时,如果实验室具备更高准确度等级的同类测量设备或可以测量同类参数的设备,当这类设备的测量不确定度不超过被核查设备不确定度的1/3时,则可以用其对被核查设备进行检查,当结果表明被核查的相关特性符合其技术指标时,认为核查通过。
当测量设备属于标准信号源时,也可以采用此方法。
例如:可以通过不确定度为0.1℃的温度计核查不确定度为0.2℃的温度计。
2、多台套设备比对法
当实验室没有高一等级的计量标准或其他测量设备,但具有多台套同类的具有相同准确度等级的计量标准或测量设备时,可以采用这一方法。
首先用被核查的测量设备对核查标准进行测量,得到的测量值为y1。然后用其他几台设备分别对核查标准进行测量,得到的测量值分别为y2、y3……yn,计算y1、y2、y3……yn的平均值,则当

时,认为核查结果满意(式中U为用被核查设备对核查标准进行测量时的扩展不确定度)。
例如:实验室通过用A、B、C三把游标卡尺对一均匀量块其中一边进行测量,每把卡尺测量10次,其中A卡尺测量的平均值为Y1,B卡尺测量的均值为Y2,C卡尺测量的均值为Y3,三把卡尺测量结果的平均值为

计算三把卡尺测量结果的扩展不确定度分别为U1、U2、U3,对于A卡尺上述核查是否满意则通过比较

与0.95U1确定,如果前者小于等于后者则核查结果可认为满意,否则认为不满意。
3、两台套设备比对法
当实验室只有两台(套)同类测量设备时,可用它们对核查标准进行测量,得到的测量值分别为y1、y2。假如它们的测量不确定度分别为U1、U2,则当满足

时,认为核查结果满意(En值)。
若这两台(套)设备是溯源到同一计量标准,它们之间具有相关性,在评定不确定度时应予考虑。
当对标准物质进行核查时,也可用此法。这时标准物质为被核查的测量设备,选取性能稳定、具有满足标准物质量值分辨力的测量设备作为核查标准,分别用两个同类的、性能指标相同的标准物质对核查标准进行测量,得到两个结果,按上述判别准则进行判定。由于被核查的标准物质类型相同、技术指标相同,因此两次测量具有相同的不确定度。
例如:用一台天平分别称量A、B两个质量及等级相同的砝码扩展不确定度为U(查检定证书),每个的各称量10次对A砝码的称量结果取匀值为Y1,对B砝码称量结果取均值为Y2,如果

则可以认为核查结果满意,否则认为核查结果不满意。
4、标准物质法
当实验室具有被核查设备的标准物质时,可用标准物质作为核查标准。
若用标准物质去检查被核查设备的参数,得到的测量值为y,判别准则为:

式中:y—测量值;Y—标准物质代表的值;Δ—与被核查设备准确度等级对应的允差限。
用于期间核查的标准物质应能溯源至SI,或是在有效期内的有证标准物质,当无标准物质时,可用已经过定值的标准溶液对测量设备进行核查。如pH计、离子计、电导仪等可用定值溶液进行核查。
5、留样再测法
留样再测法又可称作稳定性实验法、重复测量法。当测量设备经检定或校准得到其性能数据后,立即用其对核查标准进行测量,把得到的测量值y1作为参考值。这时的核查标准可以是测量设备,也可以是实物样品。然后在规定条件下保存好该核查标准,并尽可能不作为他用。
在规定或计划的核查频次上,用测量设备分别对该核查标准进行测量,得到测量值y2、y3……yn。判别准则为:

式中:U——扣除由系统效应引起的标准不确定度分量后的扩展不确定度。
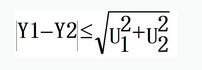
例如:当拉力机经计量部门检定合格后立即对一钢筋上5段等长截样进行试验直至断裂,获得平均最大拉力Y1,一月后对同样的钢筋段在同样的环境下再次试验,获得平均最大拉力Y2,如果|Y1-Y2|≤U (U为拉力机检定证书提供的扩展不确定度)则可以认为核查结果满意否则,认为核查结果不满意。
6、实物样件检查法
某些测量设备是用于测量限值的,当测量值超过限定值时即自动报警。对于这类设备可用本方法进行期间核查。首先根据被核查设备的工作原理以及被核查参数的性质,设计、制作或购买相应的实物样件。然后设定该参数的限定值,将实物样件施加于测量设备上,操作设备并调节到规定的输出量,观察测量设备是否具有相应的响应。
例如:对准确度等级为5级、输出电压为1500V、设置的泄漏电流为5mA的耐压测试仪进行期间核查时,可以用300kΩ的电阻作为核查标准。将其接入耐压测试仪的两测试棒中,调节输出电压在(1500±5%)V时应报警,此时认为耐压测试仪的性能正常。
7、自带标样核查法
有些测量设备自带标准样块,有的还带有自动校准系统,这时可将标准样块作为核查标准,按照制造商提供的方法进行核查。例如,电子天平往往自带一个标准工作砝码、金属超声波测厚仪自带标准金属底板,可将标准工作砝码、标准金属底板作为核查标准,按照设备说明书上规定的方法进行核查,另外像网络线缆认证测试仪开机就会自动校准。
8、直接测量法
当测量设备属于标准信号源时,若实验室具备计量标准,可直接用传递测量法;若不具备计量标准,则可使用本方法。
首先确定需要核查的功能以及测量点,然后选取具有相应功能的测量设备作核查标准,在相应测量点上对核查标准的性能进行校准,得到相应的修正值,再用核查标准来测量被核查设备的性能,对核查结果进行修正后,观察是否符合其相应的技术要求。
例如:对变频稳压电源进行核查时,首先应根据需要确定核查的测量点(如180V),这时可以选取数字多用表作核查标准。对数字多用表直流电压挡上的180V测量点的示值进行校准,得到的修正值为e;再用数字多用表去测量标准电压源的180V输出时的实际值,得到的结果为V,则(V+e)为核查结果。根据标准信号源的技术要求,即可判定其是否满意。
9、实验室间比对法
当实验室条件无法满足以上方法时,可用实验室间比对法来进行核查。
当确定被核查设备所在实验室为比对的主导实验室时;
当没有确定主导实验室时;
当参加比对实验室的测量设备均溯源到同一校准实验室的同一计量标准时,在评定不确定度时应考虑相关性的影响。
10、方法比对法
可以采用不同的方法对测量设备进行核查。当利用同一台被核查测量设备对核查标准进行测量时,当两种方法的两次测量是在不同测量设备上进行的。
核查结果处理及核查频次
1、当通过期间核查发现测量设备性能超出预期使用要求时,首先,应立即停止使用并进行维修,在重新检定或校准表明其性能满足要求后方可投入使用;其次,应立即采取适当的方法或措施,对上次核查后开展的检定、校准、检测工作进行追溯,以尽可能减少和降低设备失准而造成的风险。
2、检定、校准、检测工作的追溯是需要成本的,同时设备失准会给实验室和顾客带来风险,从而损害实验室和顾客的利益。因此,实验室应从自身资源、技术能力、测量设备的重要程度,以及追溯成本和可能产生的风险等因素,综合考虑期间核查的频次。实际上它并不是一成不变的。
期间核查的实施
1、编制有关程序性文件,明确期间核查工作的职责分工、工作流程及要求,并明确期间核查不符合结果的处理。
2、编制年度的期间核查计划,期间核查计划应该包括仪器设备名称、型号规格、编号、期间核查的日期或频次、检查方法依据来源、执行人等。
3、期间核查应有记录,可编制《仪器设备期间核查记录表》,包括仪器设备名称和编号、核查所用仪器设备的名称和编号、核查环境条件、核查方式描述、核查数据记录和综合结论、核查人员及核查日期。
检测实验室实施期间核查的步骤
1、实验室应编制有关对实验室仪器设备进行期间核查的程序文件,内容至少要包括期间核查的职责分工,如何确定需要实施期间核查的仪器设备;核查工作流程;核查结果的处理;出现核查结果异常或发现有失控趋势时的处理程序等。
2、针对每一台或类检测仪器设备应编制相应的期间核查操作规程,内容至少包括:使用的核查标准;核查参数;具体的核查操作步骤、测量点、测量次数;核查记录的要求;核查的时间间隔要求;核查数据的分析判定原则;发现问题时应采取的措施以及核查时的其他要求等。
3、每年应根据识别出的需进行期间核查的仪器设备,制定年度期间核查计划,并由专人负责监督实施。年度期间核查计划的内容应包括核查设备名称、核查参数、核查时间要求、实施核查人员、核查方式等。
4、核查时的注意事项:因为要了解仪器的变化情况,核查时必须注意保持所有实验条件的复现,应排除其他因素的影响?如人员、环境等,同时重复测量次数应充分,才能够保证数据变化只反映仪器状态的变化。
5、及时做好仪器设备期间核查记录的归档工作。
总结
通过实施对检测仪器设备的期间核查,可以及时判断仪器设备的运行状态和异常,起到防范于未然,减少损失的作用,是实验室采取预防措施,提高检测工作可靠性的手段之一。当核查发现仪器出现量值失准或异常,实验可以采取适当的方法或措施,尽可能减少和降低由于仪器设备检定或校准状态失效而产生的成本和风险,有效地维护实验室和顾客的利益。